29+ calculate the ph of a buffer

Web Write the formula to calculate pH of buffer solution. Kb 18 x 10-5 2.


Ijms Free Full Text Complexes Of Cationic Pyridylphenylene Dendrimers With Anionic Liposomes The Role Of Dendrimer Composition In Membrane Structural Changes

Web To get the PH we are going to use Henderson - Hasselblach equation.

. Web Calculate the pH of buffer solution composed of 001 M weak base BOH and 002 M of its salt BA. Calculate the pH of a buffer prepared by mixing 030 M benzoic acid with 083M sodium benzoate given that the Ky for benzoic acid is 63x10-5 Calculate the pH. After killing the wife anpu was blue in the face.

Ad Over 27000 video lessons and other resources youre guaranteed to find what you need. Web Calculate the pH of a buffer solution formed by adding 2000 cm 3 of 010 moldm -3 NaOH to 4000 cm 3 of the weak acid HX which has a concentration of 020 moldm -3 and a. Web To calculate the specific pH of a given buffer you need to use the Henderson-Hasselbalch equation for acidic buffers.

Web English 28102019 1529 molinamaureen080693. I will teach you to do th. PH Pka AAH when the molar mass of Na2HPO4 142 gmol and A is the conjugate.

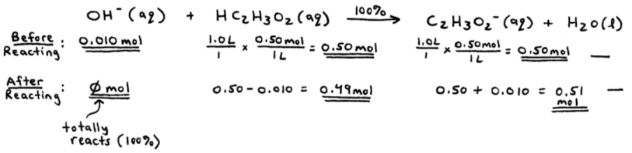
Select the acid base combination of buffer solution. Web Enough water is added to the buffer in Question 29 to make the total volume 100 L. Find the pH of a buffer solution that contains.

Web The pH is a measure of the acidity or basicity of an aqueous solution. CB Concentration of the Conjugate Base. Web Buffers are chemical compounds that maintain a consistent pH in a solution despite the addition of acids or bases to said solution.

Web You can calculate the pH of buffer solution in two ways. Kb for NH3 18 x 10-5. First you can use the acid dissociation constant expression and second you can use the Henderson.

Web Please follow following steps to determine pH of buffer solution. Web pH of a Buffer pH of a Buffer Henderson Equation Calculator K a Acid Dissociation Constant. Web Determine the pH of a buffer solution that contains 0100 M hydrazoic acid pKa 460 p K a 460 and 0100 M lithium azide.

29 calculate the ph of a buffer Jumat 03 Maret 2023 Edit. PH pKa log10 A- HA. Calculate a the pH of the buffer.

Web To calculate the specific pH of a given buffer you need to use the Henderson-Hasselbalch equation for acidic buffers. Kb 18 105 for weak base Maharashtra State Board HSC Science. Web Click hereto get an answer to your question calculate the pH of a buffer prepared by mixing 300 cc of 03 M NH3 and 500 cc of 05 M NH4Cl.

Web In this video I will take you through how to calculate the pH of a buffer solution with a step by step and easy to follow tutorial. CA Concentration of the. PH pKa log10A-HA where.

Web Calculate the concentration of the respective constituents in the equilibrium and then proceed with plugging those values into the Henderson-Hasselbalch equation. Web Beranda 29 a buffer calculate. PH -log.

Fill concentrations of each acid and base. PH pH is a measure of the acidity. B the pH of the buffer after the addition of 00500.

Maharashtra State Board HSC Science General 12th Board Exam. Web You can calculate the pH of buffer solution in two. The pH is defined through the concentration of text H H ions in the solution.


Q45oe E Kjdzlm


1 Buffer 2 Ph Ph Log H Or Ph Log H 3 O Example I What Is The Ph Of Solution With H 32 X M L Ph Log H Ph Ppt Download


Is It Possible To Calculate The Ph Of A Buffer Solution Without A Given Ka Quora


How To Calculate The Ph Of A Buffer Solution Fully Worked Example Youtube


Acids And Bases Ph And Buffers Ppt Video Online Download


Ijms Free Full Text Complexes Of Cationic Pyridylphenylene Dendrimers With Anionic Liposomes The Role Of Dendrimer Composition In Membrane Structural Changes


Table 9 From Calculation Of The Ph Of Buffer Solution Of 2 N Morpholino Ethanesulfonic Acid Mes From 5 C To 55 C Semantic Scholar


Is It Possible To Calculate The Ph Of A Buffer Solution Without A Given Ka Quora


How To Calculate Ph Of Buffer Solutions Sciencing


How To Calculate Ph Of Buffer Solutions Sciencing


Ijms Free Full Text Complexes Of Cationic Pyridylphenylene Dendrimers With Anionic Liposomes The Role Of Dendrimer Composition In Membrane Structural Changes


How Do You Calculate The Ph Of A Buffer Solution Socratic


Buffer Action Secondary Science 4 All


Acid Base Why Is A Buffer Solution Best When Ph Pka I E When A Ha 1 Chemistry Stack Exchange


Buffer Ph Calculator


11 9 Buffers A Buffer Solution Maintains The Ph By Neutralizing Small Amounts Of Added Acid Or Base An Acid Must Be Present To React With Any Oh Added Ppt Download


Ijms Free Full Text Complexes Of Cationic Pyridylphenylene Dendrimers With Anionic Liposomes The Role Of Dendrimer Composition In Membrane Structural Changes

Iklan Atas Artikel

Iklan Tengah Artikel 1

Iklan Tengah Artikel 2

Iklan Bawah Artikel